Lyten #2: can lithium-sulfur batteries work?
A technical deep dive into Lyten’s Li-S battery architecture
Welcome to Lithium Horizons! This newsletter explores the latest developments, companies, and ideas at the frontiers of energy materials. Subscribe below to get the next article delivered straight to your inbox.
In the previous article, we introduced Lyten as a materials-driven company built around its core innovation: 3D Graphene™, a tunable carbon ‘‘supermaterial’’ positioned as a platform for multiple applications. We also examined how this material underpins Lyten’s business model and broader strategy, moving from niche to mainstream applications.
In this article, we turn to Lyten’s flagship product: lithium–sulfur (Li–S) batteries, and examine how this carbon platform is used to tackle one of the most persistent challenges in next-generation batteries.
Li-S batteries: a primer
Lithium–sulfur batteries (Figure 1) have long been considered a potential successor to conventional lithium-ion chemistries. Their appeal lies in a compelling theoretical combination: high energy density and abundant materials.
A typical Li–S cell consists of (as opposed to standard lithium-ion batteries):
A lithium metal anode (instead of graphite)
A sulfur-based cathode (instead of NMC or LFP)
An electrolyte that is typically ether-based, rather than the carbonate

In theory, Li–S batteries can reach 400–500 Wh/kg, significantly above today’s best commercial lithium-ion cells (~250–300 Wh/kg). At the same time, sulfur is inexpensive and widely available, and the chemistry avoids critical materials such as nickel and cobalt. Naturally, this positions it as a strong strategic complement to Li-ion.
On paper, this makes Li–S an attractive candidate for applications where weight is important and where supply chain independence is critical, such as aerospace and defense.
The fundamental challenges
Despite decades of research, Li–S batteries face several well-known limitations:
Polysulfide shuttle effect: during cycling, sulfur forms soluble molecules, called polysulfides, that migrate from the cathode to deposit on the anode. This leads to the loss of active material, low Coulombic efficiency, and rapid battery capacity fading.
Poor conductivity: sulfur is electrically insulating, requiring conductive hosts and complex cathode architectures.
Lithium metal instability: the lithium anode introduces dendrite growth, unstable solid electrolyte interphase (i.e., SEI), and other safety concerns.
Practical system limitations: efforts to mitigate these issues often introduce high cathode porosity of >40%, excess electrolyte requirements and reduced energy per volume.
As a result, Li–S systems often struggle to compete with lithium-ion in reality, especially in applications like electric vehicles where volume, lifetime, and cost are critical.
That said, Li–S remains attractive for niche applications where high gravimetric (i.e., per kg) energy density outweighs cycle life, volume, and cost constraints.
Lyten’s approach: engineering the cathode
Lyten’s core idea is to use its 3D Graphene™ as a structured carbon host for sulfur.
Rather than treating carbon as a simple conductive additive, Lyten builds a three-dimensional porous network in which sulfur is embedded. This architecture aims to disperse sulfur into smaller domains, improve electronic conductivity, and physically confine polysulfides.
The result is a hierarchically porous carbon–sulfur mixture, where pore size, surface chemistry, and morphology can be tuned through the underlying carbon-based material.
Additionally, Lyten’s patents suggest multi-layer cathode designs (Figure 2), where different coatings introduce gradients in conductivity, chemical functionality, and polysulfide affinity. For example, functional groups in specific layers may help chemically bind polysulfides, complementing the physical confinement provided by the carbon structure.

This approach is conceptually aligned with broader academic efforts. Lyten’s differentiation lies in its claim of scalable, tunable carbon production, as discussed in Part #1 of this series.
Anode design: beyond lithium metal
On the anode side, Lyten departs from pure lithium metal by using lithium–magnesium (Li–Mg) alloys, typically around 90% Li and 10% Mg by weight (Figure 3).
These alloys can improve mechanical stability, reduce dendrite formation, and enable freestanding anodes (i.e., without copper current collectors), improving gravimetric energy density.
To stabilize the anode–electrolyte interface and prevent polysulfide deposition, Lyten employs several protective strategies:
Polymer coatings: PVDF, PETEA or PEGDMA provide flexibility to accomodate volume changes and help regulate interfacial reactions.
Inorganic interlayers: lithium titanate (LTO) as lithium-ion-conductive ceramic barrier, chemically stable interface, and regulator of lithium deposition.

Electrolyte strategy
Lyten’s electrolyte system is based on fluorinated ether solvents, combined with LiTFSI as the lithium salt and LiNO₃ as an additive to stabilize the lithium interface.
Recent patents also describe gel polymer electrolytes (GPEs) with layered structures, for example: a PVDF-HFP-based layer near the cathode and a PETEA–PEGDMA layer near the anode (also serving as a protective layer).
These polymer matrices are infused with liquid electrolyte and may include oxide particles, forming composite systems that improve safety, reduce leakage, and enhance interfacial stability. Other iterations mention the use of PAN-based gel electrolytes.
Critical assessment
To understand Lyten’s current position, it is useful to compare Li–S with competing battery technologies. When compared to commercial lithium-ion (i.e., NMC/LFP), Li-S approach ~2x the gravimetric energy density of batteries, but this comes at a cost of considerably lower cycle life. Under 1,000 cycles has been common, with reliable, long-lasting performance under lean electrolyte constraints not yet demonstrated at commercial scale. Li-S batteries may be more expensive in practice due to engineering complexity, despite low-cost materials, than current lithium-ion batteries.1

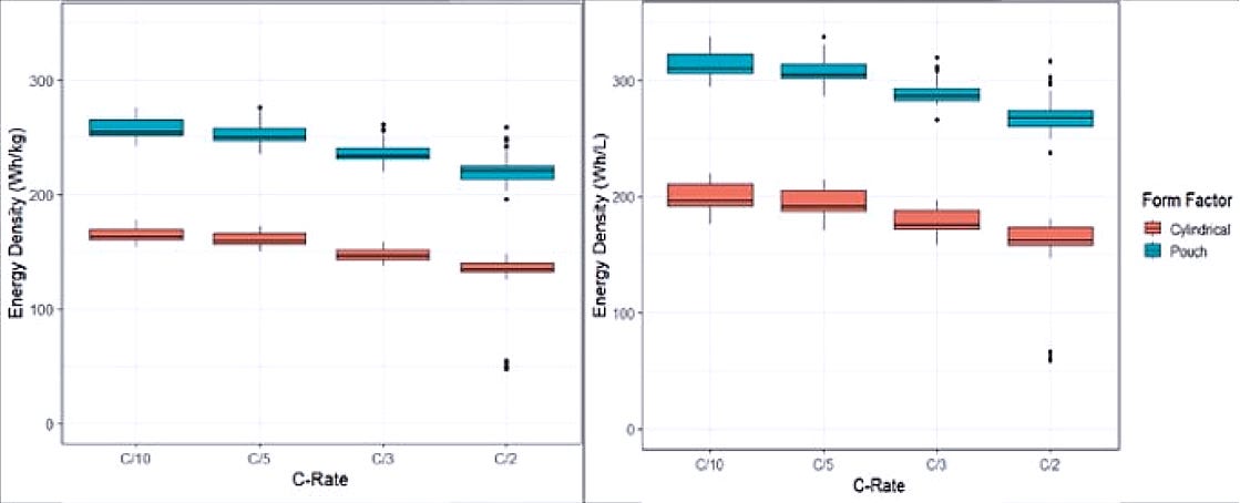
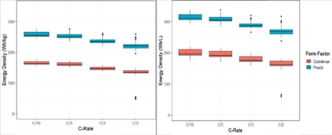
Lyten’s approach uses nanoengineered carbon-sulfur cathode, Li–Mg alloy anode with various interfacial coating, and a liquid or semi-liquid electrolyte. Publicly available data suggests 250–300 Wh/kg for balanced pouch cells and 400 full-depth cycles. Up to 600 cycles is possible at partial depth of discharge. Lyten has also reported pilot-scale production of cells in multiple formats, including pouch and 18650 cylindrical designs (Figure 4).
While promising, these figures fall short of what Li-S theoretical potential and should be interpreted cautiously, as test conditions are often optimized and long-term performance under practical constraints (i.e., lean electrolyte, high loading) remains a key challenge.2
It is also important to note that hierarchically porous carbon–sulfur cathodes are not new. Similar approaches and performance ranges have been reported in academia. Which brings us to a conclusion that Lyten does not yet appear to be ready for large-scale commercial production and is still searching for the optimal Li-S cell design.
The caveat here is that publicly available data may not be showing Lyten’s latest or best breakthroughs and that Lyten’s bet is that its 3D Graphene™ platform enables a level of control and scalability that others have not achieved.
Can Lyten’s Li–S technology scale?
At its core, Lyten’s strategy is not just about solving electrochemistry, it is about scaling a new materials platform. Scaling the manufacturing of highly engineered anodes and cathodes, with little scrap, and low cost, is a herculian task that would require completely reinventing the established battery cell manufacturing processes. Despite the fact that sulfur is cheap Lyten’s technology is not a drop-in solution to the current battery production methods.
However, a low-volume and high-price products for niche applications, is well within the realm of what Lyten may be targeting. In such cases, the manufacturing does not need to scale to the gigafactory levels, but that means that Lyten’s Li-S battery would be suitable only for critical sectors and optimized for weight-sensitive applications and reduced reliance on critical minerals, such as military and aerospace.
Final thoughts
Lyten’s purchase of Northvolt’s assets can be understood as their attempt to get their hands on an established battery manufacturing infrastructure. A kind of a next step in their Li-S commercialization. However, a more skeptical look can see this a pivot towards standard lithium-ion technology.
What we’ve seen of Lyten’s technology, points to the latter. Perhaps Lyten realizes that the current Li-S technology is not suitable for the mass market, so they decided to expand by plunging into the mainstream battery sector.
Lyten represents one of the most ambitious attempts to commercialize lithium–sulfur technology by taking head-on multiple battery challenges: materials science, cell design, and manufacturing.
And that brings us back to the central theme of Part #1: Lyten is not developing a battery, it is testing whether a new materials platform can translate into industrial reality. Li-S was only one part of the whole bet.
That’s all for now — until next time! 🔋
If you enjoyed reading this piece, consider sharing and subscribing to Lithium Horizons. It helps support future articles on materials powering the energy transition.
The amount of electrolyte in a battery cell should be just enough to sustain stable performance. Excess of electrolyte increases the cell mass, which in turn reduces its energy per kg.
Interestingly, silicon-dominant anodes in lithium-ion batteries face similar performance issues as Li-S (i.e., high gravimetric energy density but low cycling stability), albeit for completely different reasons.


